
※本記事は京大建築雑誌『traverse』をより多くの方々に知っていただき、2026年1月31日前後に刊行が予定される26号をぜひとも手にとっていただくことを目的に執筆しております。これを機に『traverse』にご興味を持たれた方は、ページ下にあるリンク①からWEB版か、ご購入を検討される方はGoogle Formの購入リンク②に飛んでいただき、『traverse』の発展にご協力いただけますと嬉しいです。
2000年に建築系教員7名によって創刊された本誌『traverse-新建築学研究』は、今年で26号目を迎えました。毎年新たに学生編集委員が組織され、建築学専攻M1を中心とする有志数名(今年度は7名)により、個性豊かな雑誌が年1回のペースで発刊されています。
京都大学に所属する学生や教員、OB・OGの方々が執筆する「エッセイ / リサーチ」をはじめとし、各研究室の最新の活動をまとめた「プロジェクト」、リレー形式でインタビュイーが変わっていく「リレーインタビュー」などのコンテンツで構成されています。
毎年、編集委員が企画した「特集」ページも掲載されており、今年度は「異分野取材」と題して、建築とは異なる分野に携わる研究者の方々にインタビューすることで、建築を取り巻く視座の広がりと学際的対話の可能性を探ることを試みました。(一昨年は全国の大学の「製図室」 / 昨年は全国の大学の「自治寮」を取材)

『traverse』では、多様なコンテンツを通して建築という学問・実践の広がりや多面性、開かれた可能性を発信しています。こうした多様なページを一つの思考軸で編むために、毎号一貫した「テーマ」を設定しています。
今年度の『traverse』のテーマは「惹かれるもの」
(以下は冒頭に掲載するテーマに関するエッセイからの引用です。)
建築を含むあらゆる活動の動機には、何かへの「惹かれ」があるはずである。このテーマには、それら研究・制作・思索の原点にある「惹かれる」という感情や衝動に着目し、それがいかにして専門的営みに昇華されるかを掘り下げることで、建築を考え直す視座を提示したいという想いが込められている。
本誌の内容に先立ち、ここでは「惹かれる」という情動について深く掘り下げる。「惹かれる」とはすなわち「心が引きつけられること」。「惹」と「引」が「ひ」という音を共有していることからも、精神的な引力を彷彿とさせる言葉であることは間違いない。
中国の後漢に編纂された代表的な字書『説文解字』にも
惹、引也。从心、若聲。
(訳:「惹」とは、「引く」という意味である。意味は「心」から構成され、「若」がその音を表している。)
とある通り、原義として「惹く」には「引く」のイメージが共にあった。
われわれ編集委員は、この「惹かれ」のもつ引力に着目する。あなたが物理的・非物理的に問わず「ものに惹かれる」とき―それがあたかも初めから出会うべくして出会い、そして惹かれたかのように―感じた経験はないだろうか。このことは、人とものの間に双方向的な「惹かれ」の構造が存在していることを示している。すなわち「惹かれるべくして惹かれる」というとき、人がもつ惹かれの質量だけでなく、ものがもつ惹かれの質量がそこに掛け合わさることで「惹かれ」という現象が成立していると考えられる。
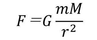
この構図は、ニュートンの発見した万有引力の法則のメタファーとして記述できる。

F:惹かれる力 / G:個人の経験定数 / r:人とものの距離 / m : 人がもつ惹かれの質量 / M : ものがもつ惹かれの質量
この式が表しているのは、―惹かれる力(F)は個人の経験に基づき(G)数多ある世界の「もの」たちが、偶然その人と出会うことで(1/r)人ともの両者のもつ「惹かれのポテンシャル」が掛け合わさり(mM)発現する― ということである。ここで伝えたいのは、「惹かれるもの」と「自分」との相互関係であり「自分がもっているものがあってはじめて惹かれる」という点にある。
本号は、この「惹かれる」という情動を共通項として、執筆者やインタビュイーを含む「ヒト」と、建築・非建築に問わず、あらゆる活動を含む「モノ」との間の相互関係を描写することが一つの目的である。そして、さらに興味深いのは、この雑誌自体が私たち編集委員自身が「惹かれた」ヒトやモノで構成されているという意味で、別の「惹かれの構造」にも支えられている点である。ここに「惹かれの入れ子構造」が存在している。

入れ子構造として「惹かれ」を見ていくと、この雑誌を手に取っていただいた読者の皆様もまた、その惹かれの入れ子に奇しくも巻き込まれていると言える。あなたがたは何かしらの「惹かれ」に導かれて、本雑誌を手に取ったに違いない。そしてまた、次頁から始まる「惹かれの旅」で、たくさんの人々の「惹かれ」を目撃し、―またその惹かれ自体に―「惹かれ」ていくだろう。
「惹かれ」という言葉を多用しすぎて少々混乱してきたが、要するに言いたいのは「惹かれは入れ子状に連鎖する」ということである。本号では従来と異なる試みとして「コンテンツのグループ分割を解体し、テーマ・内容の類似度が高いコンテンツ同士が隣り合うように再編成した」のも、この「惹かれの連鎖」を自然に促すための一つの工夫である。
本テーマに関連して、今年度のリレーインタビュイー:遠藤治郎氏の「惹かれ」に関する語りを引用する。
結局、自分が「なぜそれが好きなのか」をとことん掘り下げることが大事なんです。なぜそう感じるのかを何度でも自問して、すべての「なぜ」に答えられるようになると、もうブレない。そうして集まった「好き」の集合体が、自分という星座をつくるんです。
(大阪万博「いのちの未来」パビリオン 建築・展示区間ディレクター:遠藤 治郎)

初めに述べた通り『traverse』は2000年の創刊以降、25年の歴史を経験してきました。最後に、本記事の締めとして「創刊の辞」を引用することで、ここに『traverse』が貫いてきた志を示します。
京都大学「建築系教室」を中心とするメンバーを母胎とし、その多彩な活動を支え、表現するメディアとして 『traverse――新建築学研究』を創刊します。『新建築学研究』を唱うのは、言うまでもなく、かつての『建築学研究』の伝統を引き継ぎたいという思いを込めてのことです。『建築学研究』は、1927(昭和2)年5月に創刊され、形態を変えながらも1944(昭和19)年の129号まで出されます。そして戦後1946(昭和21)年に復刊されて、1950(昭和25)年156 号まで発行されます。数々の優れた論考が掲載され、京都大学建築学教室の草創期より、その核として、極めて大きな役割を担ってきました。この新しいメディアも、21世紀へ向けて、京都大学「建築系教室」の活動の核となることが期待されます。予め限定された専門分野に囚われず、自由で横断的な議論の場を目指したいと思います。「traverse」という命名にその素朴な初心が示されています。
2000 年4 月1 日(『traverse――新建築学研究』創刊の辞より)※一部抜粋
リンク① WEB版『traverse』
traverse – Kyoto University Architectural Journal
リンク② 紙面版『traverse』購入申込フォーム(2026 1/6 締切)
お問い合わせ:traverse@t.kyoto-u.ac.jp